Enzim sübstrat metodu (X-GAL – MUG metodu) hem koliformların hem de E.coli’nin bir arada tek bir besiyerinde tespit edilmesini sağlar.
Yüksek hassasiyette ve kısa sürede netice
24 saatte, 1 cfu/100 mL yoğunluktaki koliform grubu bakteriler ve E.coli’nin tespiti mümkündür. EC Blue aynı zamanda klorlu dezenfeksiyon ile hasar görmüş baskı altındaki hücrelerde de işe yarar.
Besiyeri hazırlanmasına ya da sterilizasyona gerek yoktur
Besiyerinin ölçülerek hazırlanması ve sterilizasyonuna ihtiyaç yoktur. Besiyeri kaba döküldükten sonra, şişeler ve besiyeri keseciği bir elektron demeti ile sterilize olur.
Kolay ve basit bir işlem
Besiyeri, keseciğinden analiz edilecek su örneğine boşaltılır ya da analiz edilecek su örneği içinde besiyeri bulunan şişeye boşaltılır ve inkübe edilir.
Açık ve hemen göze çarpan nitelikte yorumlama sağlar
Analiz edilen su örneğinde koliformlar mevcut ise mavi/mavi-yeşil renk görülür. E.coli mevcut ise UV ışık altında açık mavi/mavi-mor floresans renk görülür.
Raf ömrü
Direkt ışıktan uzakta, oda sıcaklığında imal tarihinden itibaren bir (1) yıl.
Tespit Mekanizması
Koliform Grubu
Koliform Grubu bakteriler tarafında üretilen β-galaktosidaz enzimi, bir sentetik kolorimetrik enzim sübstratı olan X-GAL’i bromo-kloro-indigo’ya dekompoze eder ve bu bileşik mavi/mavi-yeşil rengi ortaya çıkarır.

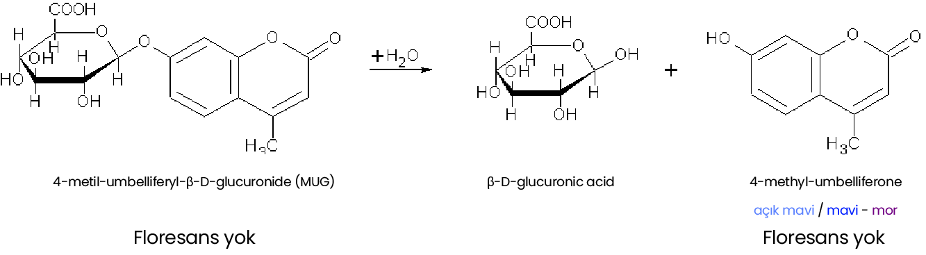
E.coli
E.coli bakterilerinin % 95’i β-glukuronidaz enzimi üretir. E. coli tarafından üretilen β-glukuronidaz enzimi, bir sentetik floresans enzim sübstratı olan MUG’yi, floresans bileşik 4-metil-umbelliferone’u izole etmek amacıyla dekompoze eder. UV ışık altında açık mavi/mavi-mor floresans gözlenir.
